How far to the top?
Forward-looking management metrics are always more useful than backward, historical performance measurements.
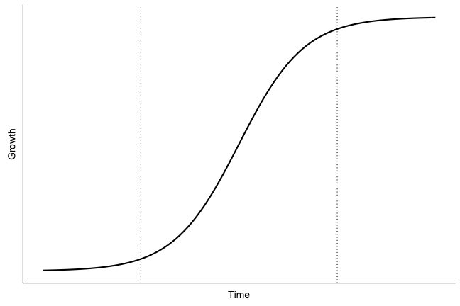
I'm currently advising a client who is aggressively pursuing growth - and as a result, have found a renewed interest in S-curves.
What's great about S-curves is that most growth metrics are premised on historical data (as a futurist, I don't really have a lot of time or appetite for history - it's the future of a business that we're interested in damn it!), but plotting where a business is on the dreaded S-curve can give us at least a sense of how much future growth is in the current iteration of the entity.
According to Kim Larson, time-to-plateau and gap-to-plateau are two very useful metrics that can be used to assess how much runway is still left till the business reaches its 'post growth'-status.
Why calculate time-to-plateau and gap-to-plateau? Time-to-plateau tells you how much time you have to act, while gap-to-plateau tells you how much customer growth you have left at steady-state churn and acquisition.
By knowing where a business is on its S-curve, it gives that business (perhaps) the motivation to get their collective arses-in-gear to prepare themselves (through innovation) to jump-the-curve onto the next phase of their evolution.
Or at the very least, it can give you a sense of how much growth you can expect in the future, which then signals when to start managing the business as an ex-growth has been.
Forward-looking management metrics are always more useful than backward, historical performance measurements, but their use is still very limited even in seemingly innovative organisations.
I'm personally finding a lot of value in these kinds of future-orientated measurements as a basis for strategic discussions with clients.
Outside of hardcore data science there is still some confusion as to their relevance, but the practical applications are clearly very useful for strategy.
All the details from Kim Larsen:
